公開しました😄ビンゴ5の直近10回の結果と各数字の出現回数のグラフ📊次回3月11日(水)対応版

ビンゴ5の予想や出目の研究と検討に役立ちます🎯
本コラムは固定ページに移行しています。
下記のリンクからどうぞ!!
ビンゴ5のよく出る数字のアイコン画像です。

ビンゴ5の次回3月11日(水)第461回対応版は
     ↓ ↓ ↓
\\ こちらからどうぞ!! //

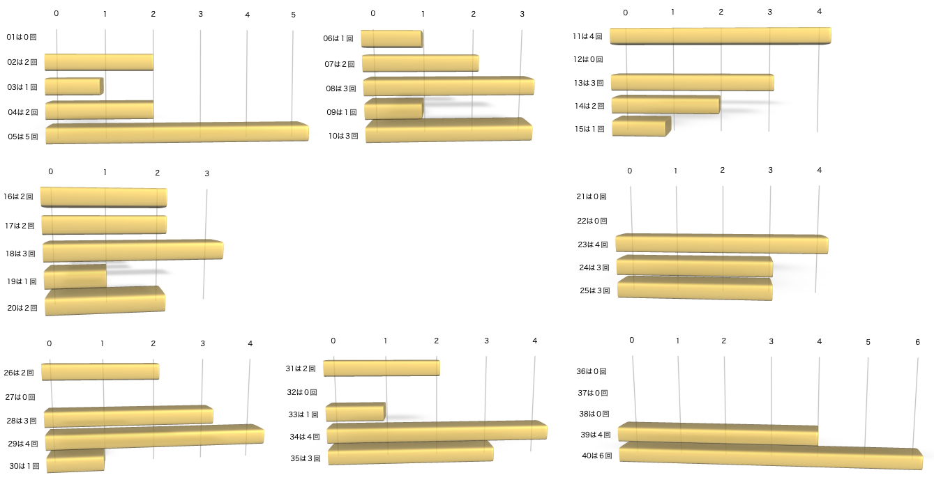
今回のグラフはこんな感じでしたよ😄

ビンゴ5の各数字の出現回数のグラフの画像です。 2026年3月4日の第460回版です。

ビンゴ5の各数字出現回数(2026年3月4日(水)の第460回まで直近10回)

数字の川にも対応しています!!

数字の川」理論とは過去の抽選数字を川に見立てて、川の流れを感じとって数字を予想する攻略法です。右下の青の帯は川の流れを感じ取った一例です。
人によっていろいろな川の流れの感じ方がありえます。ロトナン動画が作成した数字の川は素直に予想するもよし、他の人が選びにくい数字を推理して逆張り的に数字を選ぶもよし、自由な発想で利用してください。

「数字の川」理論の説明用の帯画像です。

ロトナン動画はロト6ロト7ナンバーズなどの数字選択式宝くじを少額で楽しめて、少額でずっと楽しみ続けることができるウェブサイトを目指しています。

ロトナン動画を初めて知った方ご興味がある方
下記のリンクから運営ビジョンもご覧いただけるとうれしいです🤗
ロト6ナンバーズなどのいろいろなコンテンツも紹介しています。
     ↓ ↓ ↓
\\ こちらからどうぞ!! //

ロト6、ロト7、ミニロト、ビンゴ5、ナンバーズ3、ナンバーズ4のアイコン画像です。

ろと南道雅の初夢の2021年通常版です。 ロトナン動画の目指す世界を説明しています。